Tumor-informed liquid biopsy suggests structural-variant ddPCR can monitor high-grade serous ovarian cancer
“Our result shows the detection of SVs from pre-treatment cfDNA using tumor-informed breakpoints-spanning ddPCR is feasible and may enable a novel and sensitive method for monitoring on-treatment disease burden.”
“Our result shows the detection of SVs from pre-treatment cfDNA using tumor-informed breakpoints-spanning ddPCR is feasible and may enable a novel and sensitive method for monitoring on-treatment disease burden.”
BUFFALO, NY — March 19, 2026 — A new research paper was published in Volume 13 of Oncoscience on March 5, 2026, titled “Tumor-informed liquid biopsy detection of structural variants in high grade serous ovarian cancer.”
Led by Jian Li from The University of Texas M.D. Anderson Cancer Center — with corresponding author R. Tyler Hillman from Division of Gynecologic Oncology, the University of California San Diego — the study develops and tests a tumor-informed workflow that identifies patient-specific structural-variant (SV) breakpoints by whole-genome sequencing of multisite HGSOC biopsies, then measures those breakpoints in plasma cell-free DNA (cfDNA) using custom breakpoint-spanning primer/probe sets and digital droplet PCR (ddPCR).
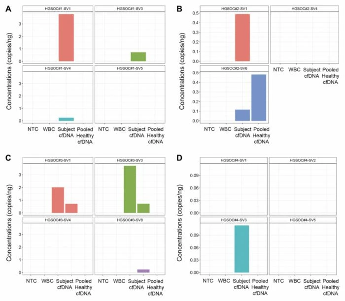
The pipeline was optimized on synthetic cfDNA from ovarian cancer cell lines and then applied to multisite, pre-treatment biopsies and matched plasma from four high-grade serous ovarian cancer (HGSOC) patients. From WGS of multisite biopsies the team designed and validated 29 tumor-informed breakpoint assays; 15 validated tumor-specific SV assays were selected for cfDNA testing and 9 produced measurable signals in corresponding liquid biopsies — demonstrating feasibility of detecting tumor-informed SVs in plasma with high specificity and superior sensitivity using ddPCR compared with real-time PCR.
“In summary, ddPCR showed superior sensitivity in measuring concentrations of SVs using the breakpoints-spanning primers/probe sets compared to real-time PCR. Validated ddPCR assays are ready to use in the absolute quantification of tumor-informed SVs in liquid biopsy.”
The authors caution this is a small pilot: the study included four patients and relied on multisite biopsies with sufficient tumor content to call high-confidence SVs. They note the current tumor-informed approach requires WGS and custom assay design, which increases cost and turnaround time relative to off-the-shelf ctDNA panels. Nevertheless, the data support a path for tumor-informed SV monitoring in HGSOC and suggest ddPCR-based SV assays could complement SNV-based MRD platforms, especially in cancers dominated by structural rearrangements.
Next steps recommended by the authors include prospective testing in larger cohorts, streamlining SV calling and assay design to shorten turnaround, rigorous longitudinal sampling to establish sensitivity for minimal residual disease and early relapse detection, and head-to-head comparison with SNV-based tumor-informed liquid biopsy approaches. If validated, tumor-informed SV ddPCR could provide a sensitive, specific tool to monitor treatment response and detect recurrence in HGSOC.
DOI: https://doi.org/10.18632/oncoscience.645
Correspondence to: R. Tyler Hillman – tyhillman@health.ucsd.edu
Abstract video: https://www.youtube.com/watch?v=Ivb7QB5QlCs
Keywords: cancer, ovarian cancer, ctDNA, biomarker, liquid biopsy, structural variant
Click here to sign up for free Altmetric alerts about this article.
About Oncoscience:
Oncoscienceis a peer-reviewed, open-access, traditional journal covering the rapidly growing field of cancer research, especially emergent topics not currently covered by other journals. This journal has a special mission: freeing oncology from publication costs. It is free to readers and authors.
Oncoscience is indexed and archived by PubMed, PubMed Central, Scopus, META (Chan Zuckerberg Initiative) (2018-2022), and Dimensions (Digital Science).
To learn more about Oncoscience, visit Oncoscience.us and connect with us on social media:
For media inquiries, please contact media@impactjournals.com.
END
BUFFALO, NY — March 19, 2026 — A new research paper was published in Volume 13 of Oncoscience on March 5, 2026, titled “Tumor-informed liquid biopsy detection of structural variants in high grade serous ovarian cancer.”
Led by Jian Li from The University of Texas M.D. Anderson Cancer Center — with corresponding author R. Tyler Hillman from Division of Gynecologic Oncology, the University of California San Diego — the study develops and tests a tumor-informed workflow that identifies patient-specific structural-variant (SV) breakpoints by whole-genome sequencing of multisite HGSOC biopsies, then measures those breakpoints in plasma cell-free DNA (cfDNA) using custom breakpoint-spanning primer/probe sets and digital droplet PCR (ddPCR).
The pipeline was optimized on synthetic cfDNA from ovarian cancer cell lines and then applied to multisite, pre-treatment biopsies and matched plasma from four high-grade serous ovarian cancer (HGSOC) patients. From WGS of multisite biopsies the team designed and validated 29 tumor-informed breakpoint assays; 15 validated tumor-specific SV assays were selected for cfDNA testing and 9 produced measurable signals in corresponding liquid biopsies — demonstrating feasibility of detecting tumor-informed SVs in plasma with high specificity and superior sensitivity using ddPCR compared with real-time PCR.
“In summary, ddPCR showed superior sensitivity in measuring concentrations of SVs using the breakpoints-spanning primers/probe sets compared to real-time PCR. Validated ddPCR assays are ready to use in the absolute quantification of tumor-informed SVs in liquid biopsy.”
The authors caution this is a small pilot: the study included four patients and relied on multisite biopsies with sufficient tumor content to call high-confidence SVs. They note the current tumor-informed approach requires WGS and custom assay design, which increases cost and turnaround time relative to off-the-shelf ctDNA panels. Nevertheless, the data support a path for tumor-informed SV monitoring in HGSOC and suggest ddPCR-based SV assays could complement SNV-based MRD platforms, especially in cancers dominated by structural rearrangements.
Next steps recommended by the authors include prospective testing in larger cohorts, streamlining SV calling and assay design to shorten turnaround, rigorous longitudinal sampling to establish sensitivity for minimal residual disease and early relapse detection, and head-to-head comparison with SNV-based tumor-informed liquid biopsy approaches. If validated, tumor-informed SV ddPCR could provide a sensitive, specific tool to monitor treatment response and detect recurrence in HGSOC.
DOI: https://doi.org/10.18632/oncoscience.645
Correspondence to: R. Tyler Hillman – tyhillman@health.ucsd.edu
Abstract video: https://www.youtube.com/watch?v=Ivb7QB5QlCs
Keywords: cancer, ovarian cancer, ctDNA, biomarker, liquid biopsy, structural variant
Click here to sign up for free Altmetric alerts about this article.
About Oncoscience:
Oncoscienceis a peer-reviewed, open-access, traditional journal covering the rapidly growing field of cancer research, especially emergent topics not currently covered by other journals. This journal has a special mission: freeing oncology from publication costs. It is free to readers and authors.
Oncoscience is indexed and archived by PubMed, PubMed Central, Scopus, META (Chan Zuckerberg Initiative) (2018-2022), and Dimensions (Digital Science).
To learn more about Oncoscience, visit Oncoscience.us and connect with us on social media:
For media inquiries, please contact media@impactjournals.com.
END
